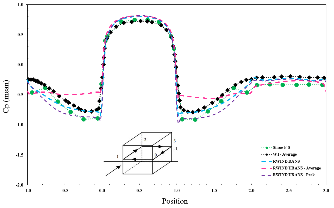
Průměrná a maximální hodnota Cp pro model turbulence RANS a URANS
Průměrná a maximální hodnota Cp pro model turbulence RANS a URANS
21.11.2024
054056
  • RFEM 6

Průměrná a maximální hodnota Cp pro model turbulence RANS a URANS

Sdílet