Odvození pro 1. šířku jádra s dvouosou excentricitou
Odvození pro 1. šířku jádra s dvouosou excentricitou
3.12.2024
054348
  • RFEM 6

Odvození pro 1. šířku jádra s dvouosou excentricitou

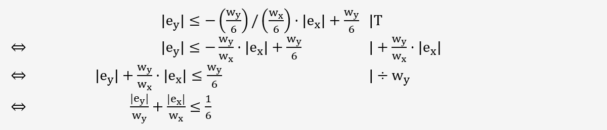
Tento obrázek ilustruje odvození první šířky jádra se zohledněním dvouosé excentricity, což je rozhodující pro dodržení dovolených excentricit při geotechnických posouzeních. Software pro statické výpočty podporuje návrh konstrukcí, přičemž jsou integrovány obzvlášť addony Dlubal, které inženýrům pomáhají s přesným výpočtem a optimalizací stability konstrukcí. Zobrazené metody pomáhají pochopit, jak maximalizovat únosnost konstrukce a jak se vyhnout konstrukčním chybám, které by mohly být způsobeny nedovolenými excentricitami.
  • Šířka jádra
  • Technologie stavebního inženýrství
  • Excentricita
  • Návrh konstrukcí
  • Software pro statiku
Sdílet