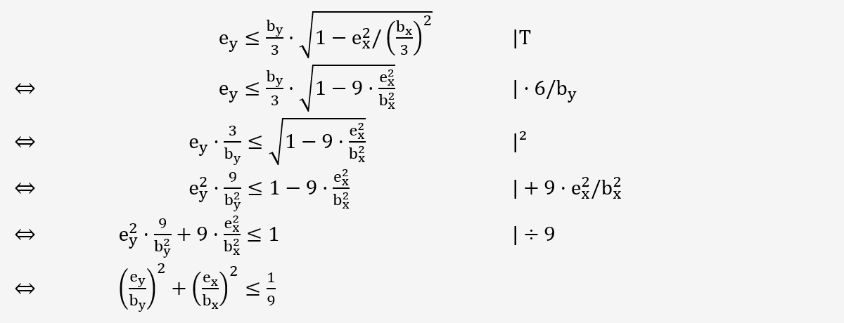
Odvození pro 2. šířku jádra s dvouosou excentricitou
Odvození pro 2. šířku jádra s dvouosou excentricitou
3.12.2024
054350
  • RFEM 6

Odvození pro 2. šířku jádra s dvouosou excentricitou

  • Šířka jádra
  • Technologie stavebního inženýrství
  • Excentricita
  • Návrh konstrukcí
  • Software pro statiku
Sdílet