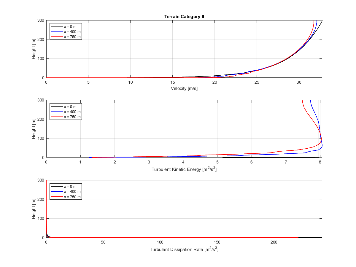
Kategorie terénu II | Diagramy porovnávající rychlost, turbulentní kinetickou energii a rychlost disipace ve větrném tunelu ve třech polohách x.
Kategorie terénu II | Diagramy porovnávající rychlost, turbulentní kinetickou energii a rychlost disipace ve větrném tunelu ve třech polohách x.
14.2.2025
055423
  • RFEM 6

Porovnání parametrů proudění ve větrném tunelu

Kategorie terénu II | Diagramy porovnávající rychlost, turbulentní kinetickou energii a rychlost disipace ve větrném tunelu ve třech polohách x.

Tento diagram představuje srovnávací analýzu parametrů proudění ve střední rovině větrného tunelu. Ilustruje rychlost, turbulentní kinetickou energii a míru disipace turbulence na x=0 m, x=400 m a x=750 m. Různé grafické prvky odlišují každý parametr v jednotlivých řezech. Rozložení zdůrazňuje prostorovou variabilitu aerodynamických vlastností v podmínkách terénní kategorie II.
  • Větrný tunel
  • Rychlost
  • Turbulence
  • Kinetická energie
  • Míra disipace
  • Střední rovina
  • Diagram
  • Kategore terénu II
Sdílet