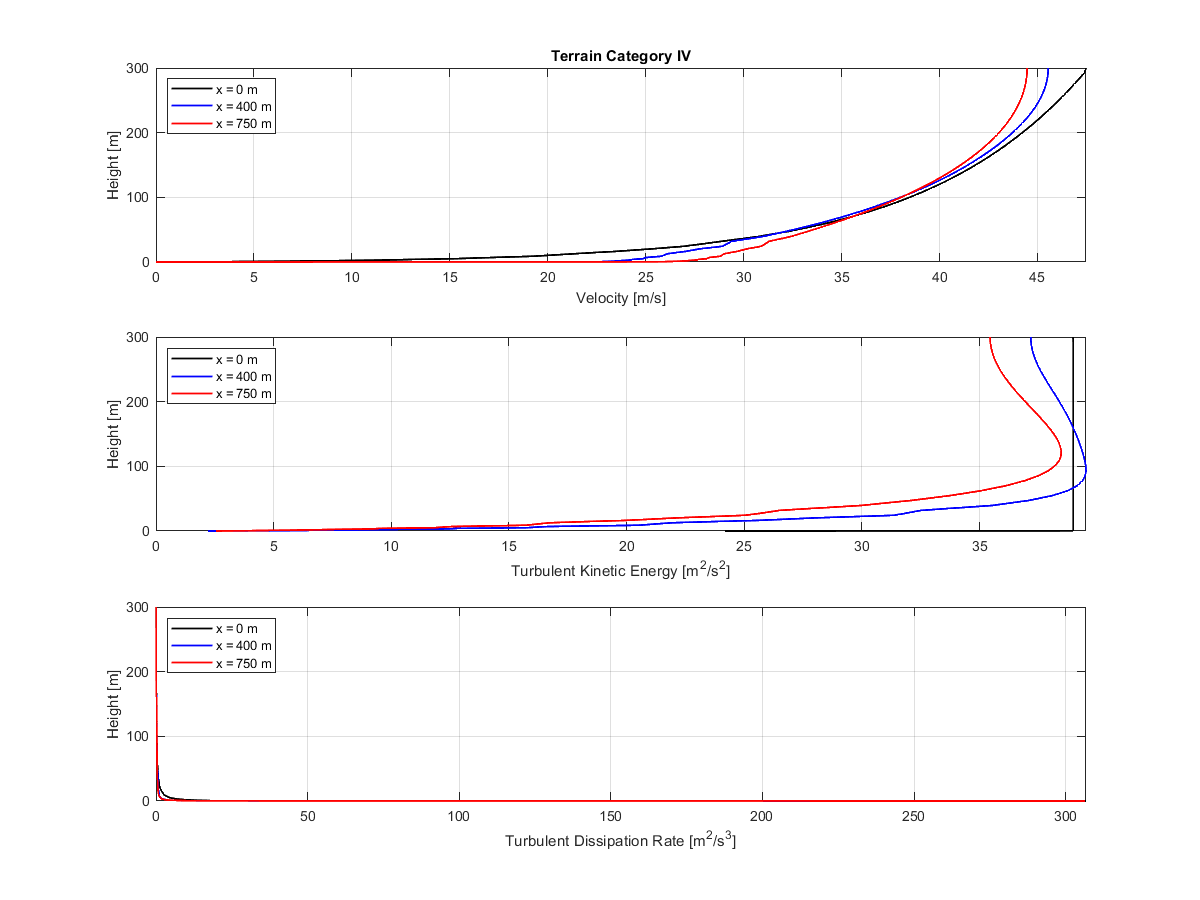
Kategorie terénu IV | Schéma znázorňující rychlost, turbulentní kinetickou energii a disipaci při x = 0, 400 a 750 m
Kategorie terénu IV | Schéma znázorňující rychlost, turbulentní kinetickou energii a disipaci při x = 0, 400 a 750 m
14.2.2025
055425
  • RFEM 6

Analýza proudění ve větrném tunelu

Kategorie terénu IV | Schéma znázorňující rychlost, turbulentní kinetickou energii a disipaci při x = 0, 400 a 750 m

Diagram porovnává rychlost proudění, turbulentní kinetickou energii a rychlost disipace turbulencí ve středové rovině aerodynamického tunelu při x=0 m, 400 m a 750 m. Obsahuje zřetelné křivky pro každý parametr a zvýrazňuje prostorové rozdíly v testovací části. Osy s popisky poskytují přesné měřítko a jednotky pro jasné rozlišení vykreslených hodnot. Rozložení efektivně ilustruje variace v dynamickém chování za podmínek terénní kategorie IV.
  • Vítr
  • Tunel
  • Rychlost
  • Turbulence
  • Energie
  • Dissipace
  • Diagram
  • Terén
Sdílet