Analýza porovnávající proudění větru nad drsným a hladkým povrchem dolní části pomocí technik terénního proudění ve větrném tunelu.
Analýza porovnávající proudění větru nad drsným a hladkým povrchem dolní části pomocí technik terénního proudění ve větrném tunelu.
28.3.2025
056031
  • RFEM 6

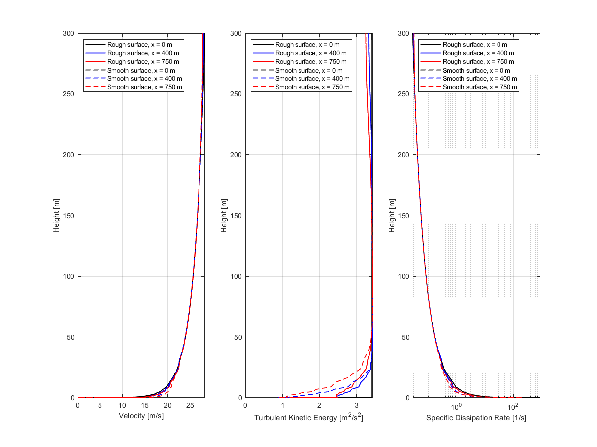
Analýza proudění v terénu – srovnání s větrným tunelem pro drsný a hladký povrch dolní plochy

Analýza porovnávající proudění větru nad drsným a hladkým povrchem dolní části pomocí technik terénního proudění ve větrném tunelu.

Obrázek znázorňuje srovnávací analýzu drsných a hladkých ploch dolní části ve větrném tunelu se zaměřením na charakteristiky proudění terénu. Cílem studie je pochopit, jak podmínky povrchu ovlivňují dynamiku proudění větru. Zřetelné textury povrchu jsou vizuálně zvýrazněny.
  • Analýza proudění v terénu
  • studie ve větrném tunelu
  • srovnání drsných povrchů
  • analýza hladkých povrchů
  • pozorování dynamiky tekutin
Sdílet