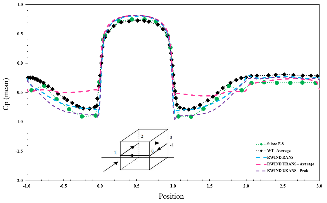
Durchschnittlicher und höchster Cp-Wert für RANS- und URANS-Turbulenzmodell
Durchschnittlicher und höchster Cp-Wert für RANS- und URANS-Turbulenzmodell
21. November 2024
054056
  • RFEM 6

Durchschnittlicher und höchster Cp-Wert für RANS- und URANS-Turbulenzmodell

Teilen