Herleitung zur 1. Kernweite mit zweiachsiger Exzentrizität
Herleitung zur 1. Kernweite mit zweiachsiger Exzentrizität
3. Dezember 2024
054348
  • RFEM 6

Herleitung zur 1. Kernweite mit zweiachsiger Exzentrizität

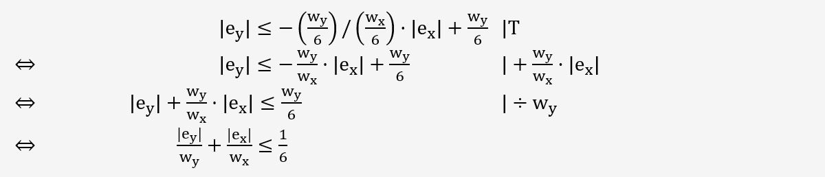
Diese Abbildung veranschaulicht die Herleitung der ersten Kernweite unter Berücksichtigung einer zweiachsigen Exzentrizität, entscheidend für die Einhaltung zulässiger Exzentrizitäten in geotechnischen Nachweisen. Mittels statischer Software wird die Tragwerksplanung unterstützt, wobei insbesondere Add-ons von Dlubal integriert werden, um Ingenieuren bei der präzisen Berechnung und Optimierung der Tragwerksstabilität zu helfen. Die dargestellten Methoden verbessern das Verständnis der Maximierung der Strukturfähigkeit und der Vermeidung von Konstruktionsfehlern, welche durch unzulässige Exzentrizitäten verursacht werden könnten.
  • Kernweite
  • Bauingenieurtechnik
  • Exzentrizität
  • Tragwerksplanung
  • Statiksoftware
Teilen