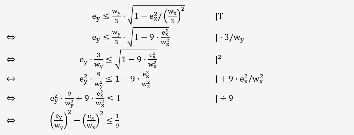
Herleitung zur 2. Kernweite mit zweiachsiger Exzentrizität
Herleitung zur 2. Kernweite mit zweiachsiger Exzentrizität
3. Dezember 2024
054350
  • RFEM 6

Herleitung zur 2. Kernweite mit zweiachsiger Exzentrizität

  • Kernweite
  • Bauingenieurtechnik
  • Exzentrizität
  • Tragwerksplanung
  • Statiksoftware
Teilen