Geländekategorie II | Diagramm zum Vergleich von Geschwindigkeit, turbulenter kinetischer Energie und Dissipationsrate in einem Windkanal bei drei x-Positionen.
Geländekategorie II | Diagramm zum Vergleich von Geschwindigkeit, turbulenter kinetischer Energie und Dissipationsrate in einem Windkanal bei drei x-Positionen.
14. Februar 2025
055423
  • RFEM 6

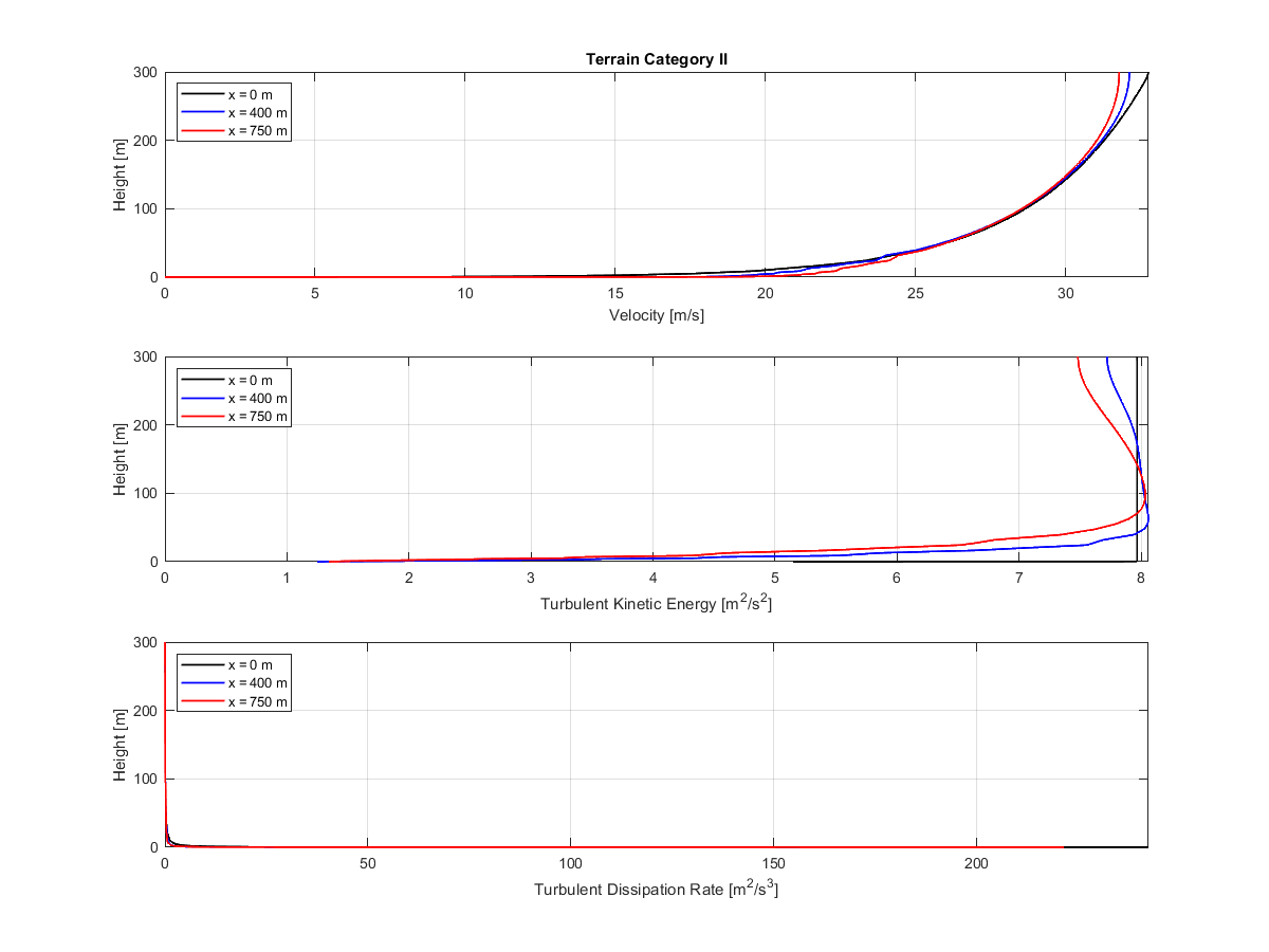
Vergleich der Strömungsparameter im Windkanal

Geländekategorie II | Diagramm zum Vergleich von Geschwindigkeit, turbulenter kinetischer Energie und Dissipationsrate in einem Windkanal bei drei x-Positionen.

Dieses Diagramm zeigt eine Vergleichsanalyse von Strömungsparametern in der Mittelebene eines Windkanals. Es veranschaulicht die Geschwindigkeit, die Turbulenzenergie und die Dissipationsrate bei x=0 m, x=400 m und x=750 m. Die einzelnen Parameter werden durch unterschiedliche grafische Elemente in den Abschnitten unterschieden. Das Layout verdeutlicht die räumliche Variation der aerodynamischen Eigenschaften unter den Bedingungen der Geländekategorie II.
  • Windkanal
  • Geschwindigkeit
  • Turbulenz
  • Kinetische Energie
  • Dissipationsrate
  • Mittelebene
  • Diagramm
  • Geländekategorie II
Teilen