Geländekategorie IV | Diagramm mit Geschwindigkeit, turbulenter kinetischer Energie und Dissipation bei x=0, 400 und 750 m
Geländekategorie IV | Diagramm mit Geschwindigkeit, turbulenter kinetischer Energie und Dissipation bei x=0, 400 und 750 m
14. Februar 2025
055425
  • RFEM 6

Windkanal-Strömungsanalyse

Geländekategorie IV | Diagramm mit Geschwindigkeit, turbulenter kinetischer Energie und Dissipation bei x=0, 400 und 750 m

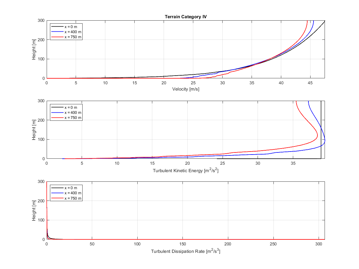
Das Diagramm vergleicht die Strömungsgeschwindigkeit, die turbulente kinetische Energie und die turbulente Dissipationsrate in der Mittelebene eines Windkanals bei x=0 m, 400 m und 750 m. Es zeigt für jeden Parameter unterschiedliche Kurven, die die räumlichen Unterschiede im Testabschnitt hervorheben. Die beschrifteten Achsen bieten präzise Messskalen und Einheiten für eine klare Unterscheidung der gezeichneten Werte. Das Layout veranschaulicht wirkungsvoll die Unterschiede im dynamischen Verhalten unter den Bedingungen der Geländekategorie IV.
  • Wind
  • Kanal
  • Geschwindigkeit
  • Turbulenz
  • Energie
  • Dissipation
  • Diagramm
  • Gelände
Teilen