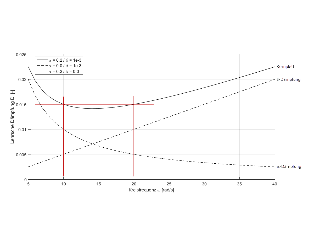
Relation Between Rayleigh Coefficients and Lehr's Damping
Relation Between Rayleigh Coefficients and Lehr's Damping
2024-05-30
018202
  • RFEM 5
  • RSTAB 8
  • DYNAM Pro | Nonlinear Time History 8
    • RF-DYNAM Pro | Forced Vibrations 5
    • RF-DYNAM Pro | Nonlinear Time History 5
    • Dynamic and Seismic Analysis
    • Nonlinear Dynamics

Relation Between Rayleigh Coefficients and Lehr's Damping

Used in
  • Rayleigh Damping
Share