Derivation of 1st Core Width with Biaxial Eccentricity
Derivation of 1st Core Width with Biaxial Eccentricity
2024-12-03
054348
  • RFEM 6

Derivation of 1st Core Width with Biaxial Eccentricity

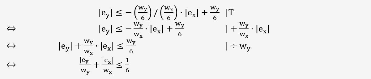
This image illustrates the derivation of the first core width, taking into account a biaxial eccentricity, which is crucial for ensuring that the allowable eccentricities in geotechnical design checks are not exceeded. Structural design is supported by structural analysis software, with particular emphasis on the integration of Dlubal add-ons to help engineers accurately calculate and optimize structural stability. The methods presented improve the understanding of how to maximize structural strength and avoid construction defects that could be caused by improper eccentricities.
  • Core Width
  • Civil Engineering Technology
  • Eccentricity
  • Structural Design
  • Structural Analysis Software
Share