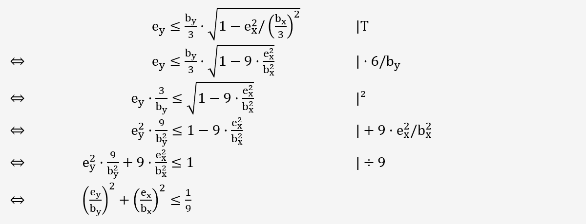
Derivation of 2nd principal moment with biaxial eccentricity
Derivation of 2nd principal moment with biaxial eccentricity
2024-12-03
054350
  • RFEM 6

Derivation of 2nd Core Width with Two-Axis Eccentricity

Derivation of 2nd principal moment with biaxial eccentricity

  • Core distance
  • Civil engineering technology
  • Eccentricity
  • Structural planning
  • Structural analysis software
Share