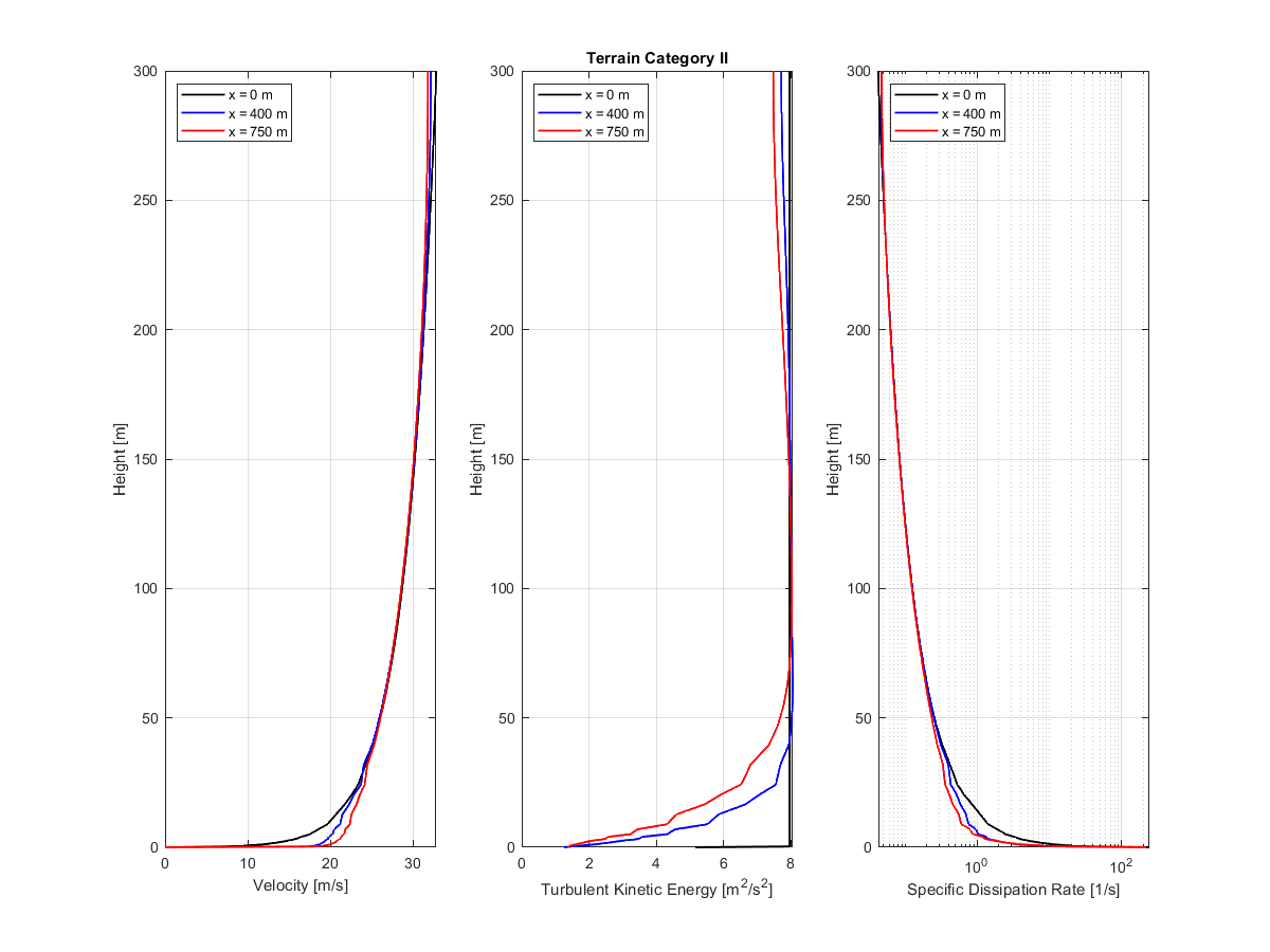
Terrain category II | Diagram comparing velocity, turbulent kinetic energy, and dissipation rate in a wind tunnel at three x positions.
Terrain category II | Diagram comparing velocity, turbulent kinetic energy, and dissipation rate in a wind tunnel at three x positions.
2025-02-14
055423
  • RFEM 6

Wind Tunnel Flow Parameter Comparison

Terrain category II | Diagram comparing velocity, turbulent kinetic energy, and dissipation rate in a wind tunnel at three x positions.

This diagram presents a comparative analysis of flow parameters in a wind tunnel middle plane. It illustrates velocity, turbulent kinetic energy, and turbulent dissipation rate at x=0 m, x=400 m, and x=750 m. Distinct graphical elements differentiate each parameter across the sections. The layout emphasizes the spatial variation of aerodynamic properties under Terrain category II conditions.
  • Wind Tunnel
  • Velocity
  • Turbulence
  • Kinetic energy
  • Dissipation rate
  • Middle plane
  • Diagram
  • Terrain category II
Share