Analysis comparing wind flow over a rough and smooth bottom surface using terrain flow techniques in a wind tunnel.
Analysis comparing wind flow over a rough and smooth bottom surface using terrain flow techniques in a wind tunnel.
2025-03-28
056031
  • RFEM 6

Terrain Flow Analysis – Wind Tunnel Comparison for Rough and Smooth Bottom Surface

Analysis comparing wind flow over a rough and smooth bottom surface using terrain flow techniques in a wind tunnel.

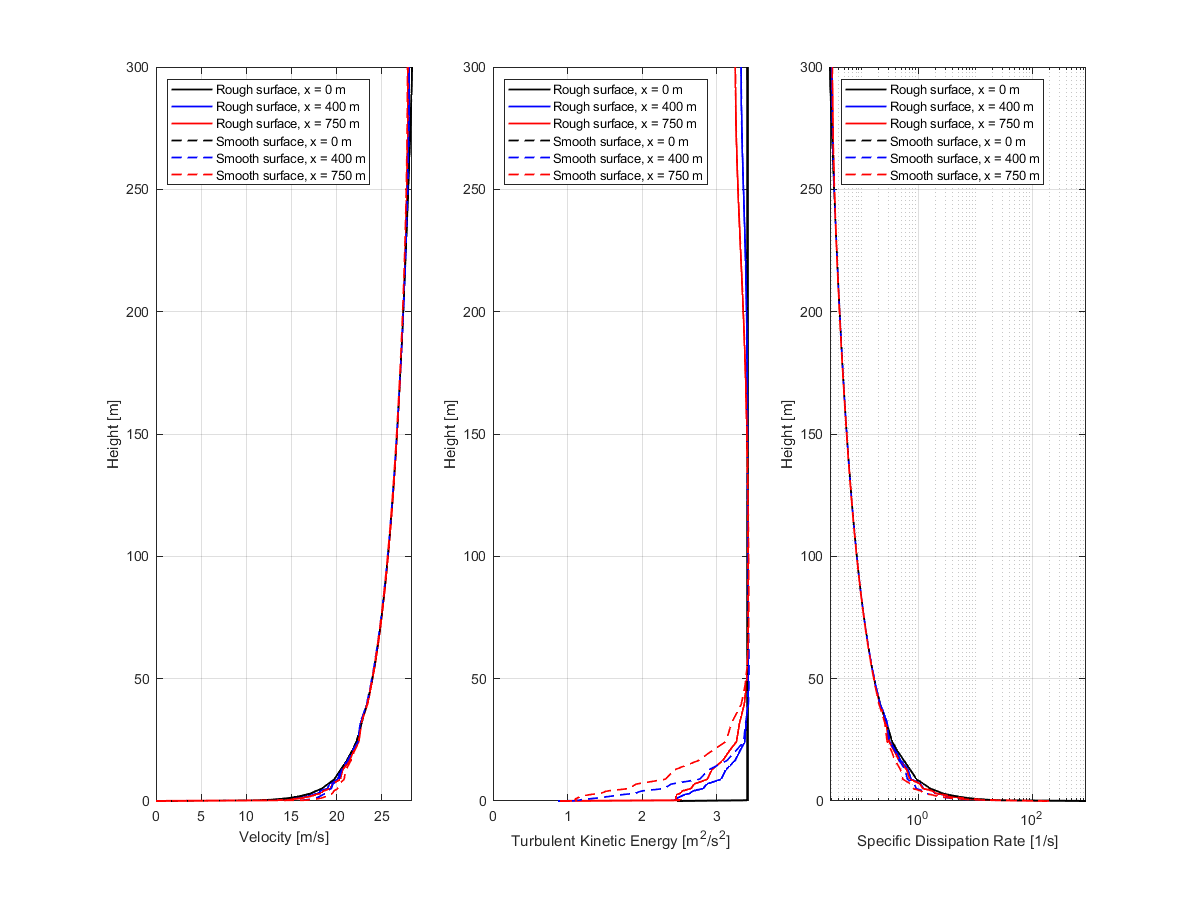
The image depicts a comparative analysis between rough and smooth bottom surfaces in a wind tunnel, focusing on terrain flow characteristics. The study aims to understand how surface conditions affect wind flow dynamics. Distinct surface textures are visually highlighted.
  • Terrain flow analysis
  • wind tunnel study
  • rough surface comparison
  • smooth surface analysis
  • fluid dynamics observation
Share