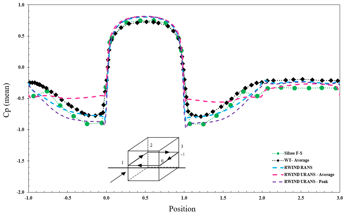
Valor Cp promedio y pico para modelo turbulento RANS y URANS
Valor Cp promedio y pico para modelo turbulento RANS y URANS
21-11-2024
054056
  • RFEM 6

Valor Cp promedio y pico para modelo turbulento RANS y URANS

Compartir