Derivación de la 1.ª anchura del núcleo con excentricidad biaxial
Derivación de la 1.ª anchura del núcleo con excentricidad biaxial
03-12-2024
054348
  • RFEM 6

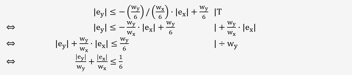
Derivación de la 1.ª anchura del núcleo con excentricidad biaxial

Esta imagen muestra la derivación de la primera anchura de núcleo considerando una excentricidad biaxial, crucial para el cumplimiento de las excentricidades admisibles en verificaciones geotécnicas. El software de análisis estructural sirve de apoyo en el cálculo de estructuras, integrando especialmente complementos de Dlubal para ayudar a los ingenieros en el cálculo preciso y la optimización de la estabilidad estructural. Los métodos presentados mejoran la comprensión de la maximización de la capacidad estructural y evitan errores de construcción que podrían ser causados por excentricidades inapropiadas.
  • Anchura de núcleo
  • Ingeniería civil
  • Excentricidad
  • Cálculo estructural
  • Software de análisis estructural
Compartir