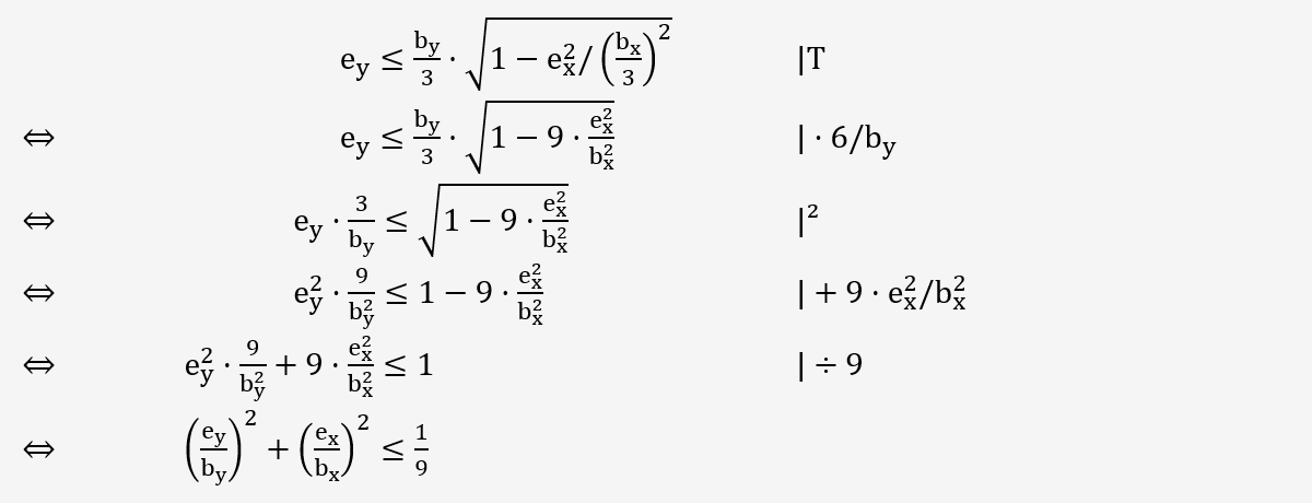
Derivación a la segunda distancia del núcleo con excentricidad biaxial.
Derivación a la segunda distancia del núcleo con excentricidad biaxial.
03-12-2024
054350
  • RFEM 6

Derivación a la 2ª distancia central con excentricidad biaxial

Derivación a la segunda distancia del núcleo con excentricidad biaxial.

  • Ancho del núcleo
  • Ingeniería civil
  • Excentricidad
  • Planificación estructural
  • Software de estática
Compartir