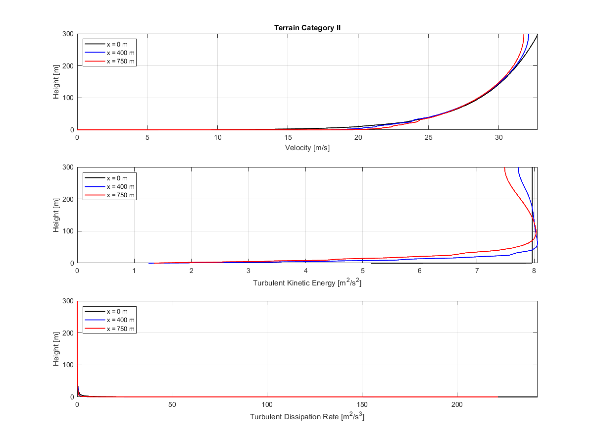
Categoría de terreno II | Diagrama en el que se comparan la velocidad, la energía cinética turbulenta y velocidad de disipación en un túnel de viento en tres posiciones x.
Categoría de terreno II | Diagrama en el que se comparan la velocidad, la energía cinética turbulenta y velocidad de disipación en un túnel de viento en tres posiciones x.
14-02-2025
055423
  • RFEM 6

Comparación de parámetros de flujo en el túnel de viento

Categoría de terreno II | Diagrama en el que se comparan la velocidad, la energía cinética turbulenta y velocidad de disipación en un túnel de viento en tres posiciones x.

Este diagrama presenta un análisis comparativo de los parámetros de flujo en el plano medio de un túnel de viento. Muestra la velocidad, la energía cinética turbulenta y la velocidad de disipación turbulenta en x = 0 m, x = 400 m y x = 750 m. Los distintos elementos gráficos permiten diferenciar cada parámetro en las secciones. La disposición destaca la variación espacial de las propiedades aerodinámicas en condiciones de categoría de terreno II.
  • Túnel de viento
  • Velocidad
  • Turbulencia
  • Energía cinética
  • Velocidad de disipación
  • Plano medio
  • Diagrama
  • Categoría de terreno II
Compartir