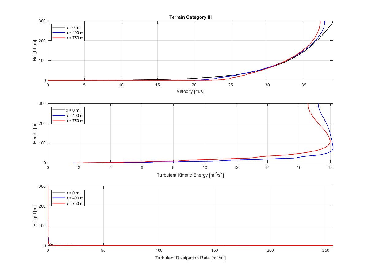
Categoría de terreno III | Comparación de la velocidad, la energía cinética turbulenta y la velocidad de disipación en tres secciones del túnel de viento.
Categoría de terreno III | Comparación de la velocidad, la energía cinética turbulenta y la velocidad de disipación en tres secciones del túnel de viento.
14-02-2025
055424
  • RFEM 6

Comparación de parámetros de flujo en el túnel de viento

Categoría de terreno III | Comparación de la velocidad, la energía cinética turbulenta y la velocidad de disipación en tres secciones del túnel de viento.

El diagrama muestra tres gráficos de sección transversal con los datos de flujo de aire medidos en un túnel de viento para x = 0 m, x = 400 m y x = 750 m a lo largo del plano medio. En él se comparan la velocidad, la energía cinética turbulenta y la velocidad de disipación turbulenta en condiciones de categoría de terreno III. Cada gráfico presenta líneas claras que trazan las variaciones de los parámetros aerodinámicos. Esta representación facilita una evaluación detallada de la dinámica del flujo de aire a través de las diferentes secciones.
  • Viento
  • Túnel
  • Flujo
  • Comparación
  • Velocidad
  • Energía cinética turbulenta
  • Velocidad de disipación turbulenta
  • Categoría de terreno III
  • Plano medio
Compartir