Categoría de terreno IV | Diagrama que muestra la velocidad, la energía cinética turbulenta y la disipación en x = 0, 400 y 750 m
Categoría de terreno IV | Diagrama que muestra la velocidad, la energía cinética turbulenta y la disipación en x = 0, 400 y 750 m
14-02-2025
055425
  • RFEM 6

Análisis de flujo en túnel de viento

Categoría de terreno IV | Diagrama que muestra la velocidad, la energía cinética turbulenta y la disipación en x = 0, 400 y 750 m

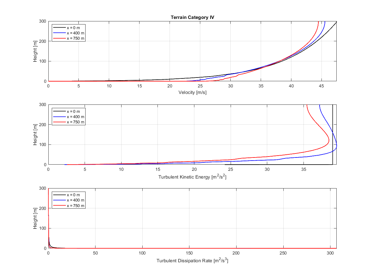
El diagrama compara la velocidad del flujo, la energía cinética turbulenta y la velocidad de disipación turbulenta en el plano medio de un túnel de viento en x = 0 m, 400 m y 750 m. Presenta curvas diferenciadas para cada parámetro, lo que pone de relieve las diferencias espaciales en la sección de prueba. Los ejes etiquetados proporcionan escalas de medición precisas y unidades para diferenciar claramente los valores representados. El diseño ilustra eficazmente las variaciones en el comportamiento dinámico en condiciones de categoría de terreno IV.
  • Viento
  • Túnel
  • Velocidad
  • Turbulencia
  • Energía
  • Disipación
  • Diagrama
  • Terreno
Compartir