Análisis comparativo del flujo de viento sobre una superficie inferior rugosa y lisa utilizando técnicas de flujo de terreno en un túnel de viento.
Análisis comparativo del flujo de viento sobre una superficie inferior rugosa y lisa utilizando técnicas de flujo de terreno en un túnel de viento.
28-03-2025
056031
  • RFEM 6

Análisis de flujo del terreno – Comparación de túnel de viento para superficies de fondo áspero y liso

Análisis comparativo del flujo de viento sobre una superficie inferior rugosa y lisa utilizando técnicas de flujo de terreno en un túnel de viento.

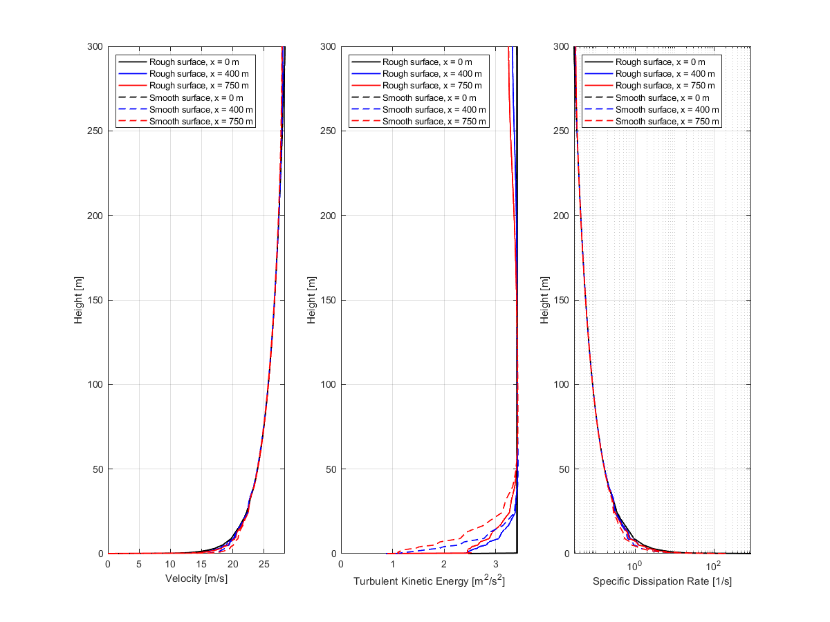
La imagen muestra un análisis comparativo entre superficies inferiores rugosas y lisas en un túnel de viento, centrándose en las características del flujo del terreno. El estudio tiene como objetivo entender cómo las condiciones de la superficie afectan la dinámica del flujo del viento. Se destacan visualmente distintas texturas de superficie.
  • Análisis de flujo del terreno
  • Estudio del túnel de viento
  • Comparación de superficie rugosa
  • Análisis de superficie suave
  • Observación de dinámica de fluidos
Compartir