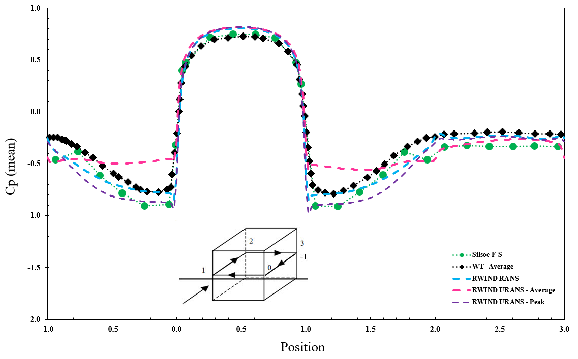
Valeur moyenne et maximale de Cp pour le modèle de turbulence RANS et URANS
Valeur moyenne et maximale de Cp pour le modèle de turbulence RANS et URANS
21.11.2024
054056
  • RFEM 6

Valeur moyenne et maximale de Cp pour le modèle de turbulence RANS et URANS

Partager