Dérivation de la 1ère portée principale avec excentricité biaxiale
Dérivation de la 1ère portée principale avec excentricité biaxiale
03.12.2024
054348
  • RFEM 6

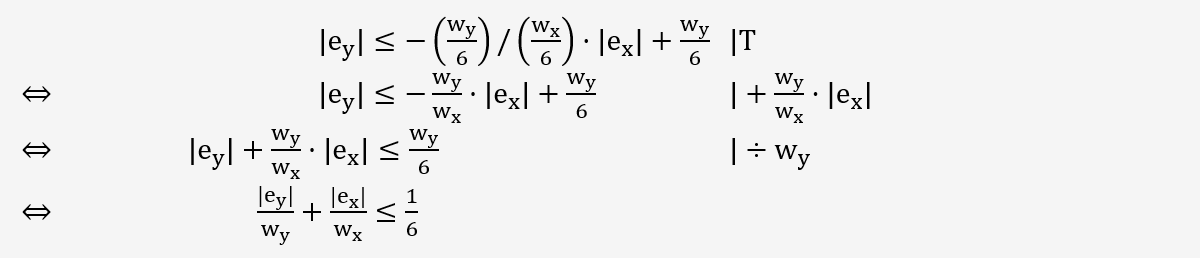
Dérivation de la première portée avec excentricité à deux axes

Dérivation de la 1ère portée principale avec excentricité biaxiale

Cette illustration montre la dérivation de la première portée de noyau en tenant compte d'une excentricité biaxiale, essentielle pour respecter les excentricités admissibles dans les preuves géotechniques. Le logiciel statique soutient la planification de structures, avec une intégration particulière des add-ons de Dlubal, afin d'aider les ingénieurs dans le calcul précis et l'optimisation de la stabilité des structures. Les méthodes présentées améliorent la compréhension de la maximisation de la capacité structurelle et de l'évitement des erreurs de construction qui pourraient être causées par des excentricités non admissibles.
  • Largeur de noyau
  • Ingénierie civile
  • Excentricité
  • Conception de structures
  • Logiciel de statique
Partager