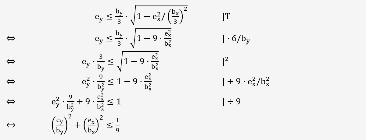
Dérivation de la 2ème largeur de noyau avec excentrement biaxial
Dérivation de la 2ème largeur de noyau avec excentrement biaxial
03.12.2024
054350
  • RFEM 6

Dérivation de la 2ème largeur de noyau avec excentrement biaxial

  • Largeur centrale
  • Génie civil
  • Excentricité
  • Calcul de structures
  • Logiciel de calcul de structures
Partager