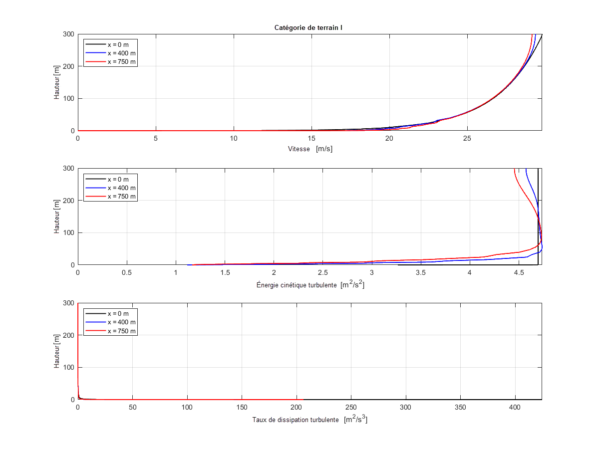
Catégorie de terrain I | Diagramme comparant la vitesse, l’énergie cinétique turbulente et le taux de dissipation à travers les sections de la soufflerie
Catégorie de terrain I | Diagramme comparant la vitesse, l’énergie cinétique turbulente et le taux de dissipation à travers les sections de la soufflerie
14.02.2025
055422
  • RFEM 6

Analyse de flux géologique du terrain - Comparaison de la soufflerie

Catégorie de terrain I | Diagramme comparant la vitesse, l’énergie cinétique turbulente et le taux de dissipation à travers les sections de la soufflerie

Le diagramme affiche des tracés de contours issus d'un plan médian de la soufflerie pour x=0 m, x=400 m et x=750 m. Il compare les distributions de vitesse, d'énergie cinétique turbulente et de taux de dissipation turbulente. Les dégradés de couleurs indiquent les variations dans le champ d'écoulement, tandis que les axes étiquetés fournissent les coordonnées spatiales et les unités de mesure. Les données visuelles illustrent un scénario de simulation de catégorie de terrain I.
  • Terrain
  • Vent
  • Soufflerie
  • Vitesse
  • Turbulence
  • Énergie cinétique
  • Taux de dissipation
  • Comparaison
Partager