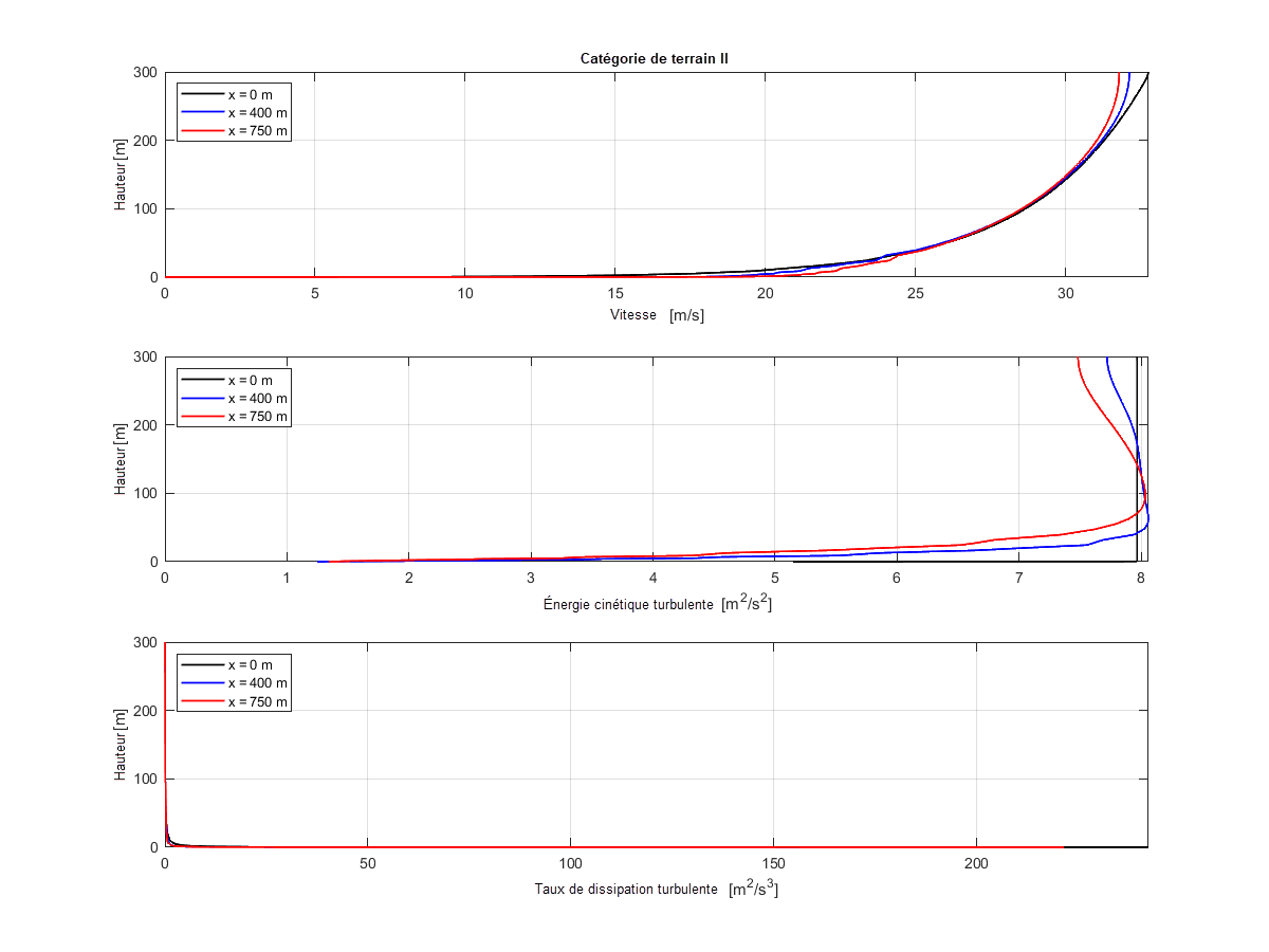
Catégorie de terrain II | Diagramme comparant la vitesse, l’énergie cinétique de la turbulence et le taux de dissipation dans une soufflerie à trois positions x.
Catégorie de terrain II | Diagramme comparant la vitesse, l’énergie cinétique de la turbulence et le taux de dissipation dans une soufflerie à trois positions x.
14.02.2025
055423
  • RFEM 6

Comparaison des paramètres de flux en soufflerie

Catégorie de terrain II | Diagramme comparant la vitesse, l’énergie cinétique de la turbulence et le taux de dissipation dans une soufflerie à trois positions x.

Ce diagramme présente une analyse comparative des paramètres de flux dans le plan médian d’une soufflerie. Il illustre la vitesse, l’énergie cinétique turbulente et le taux de dissipation de la turbulence à x=0 m, x=400 m et x=750 m. Des éléments graphiques distincts différencient chaque paramètre dans les sections. La disposition met en avant la variation spatiale des propriétés aérodynamiques dans des conditions de Terrain catégorie II.
  • Soufflerie
  • Vitesse
  • Turbulence
  • Énergie cinétique
  • Taux de dissipation
  • Plan médian
  • Diagramme
  • Catégorie de terrain II
Partager