Analyse comparant le flux de vent sur une surface inférieure rugueuse et lisse à l'aide de techniques de flux de terrain dans une soufflerie.
Analyse comparant le flux de vent sur une surface inférieure rugueuse et lisse à l'aide de techniques de flux de terrain dans une soufflerie.
28.03.2025
056031
  • RFEM 6

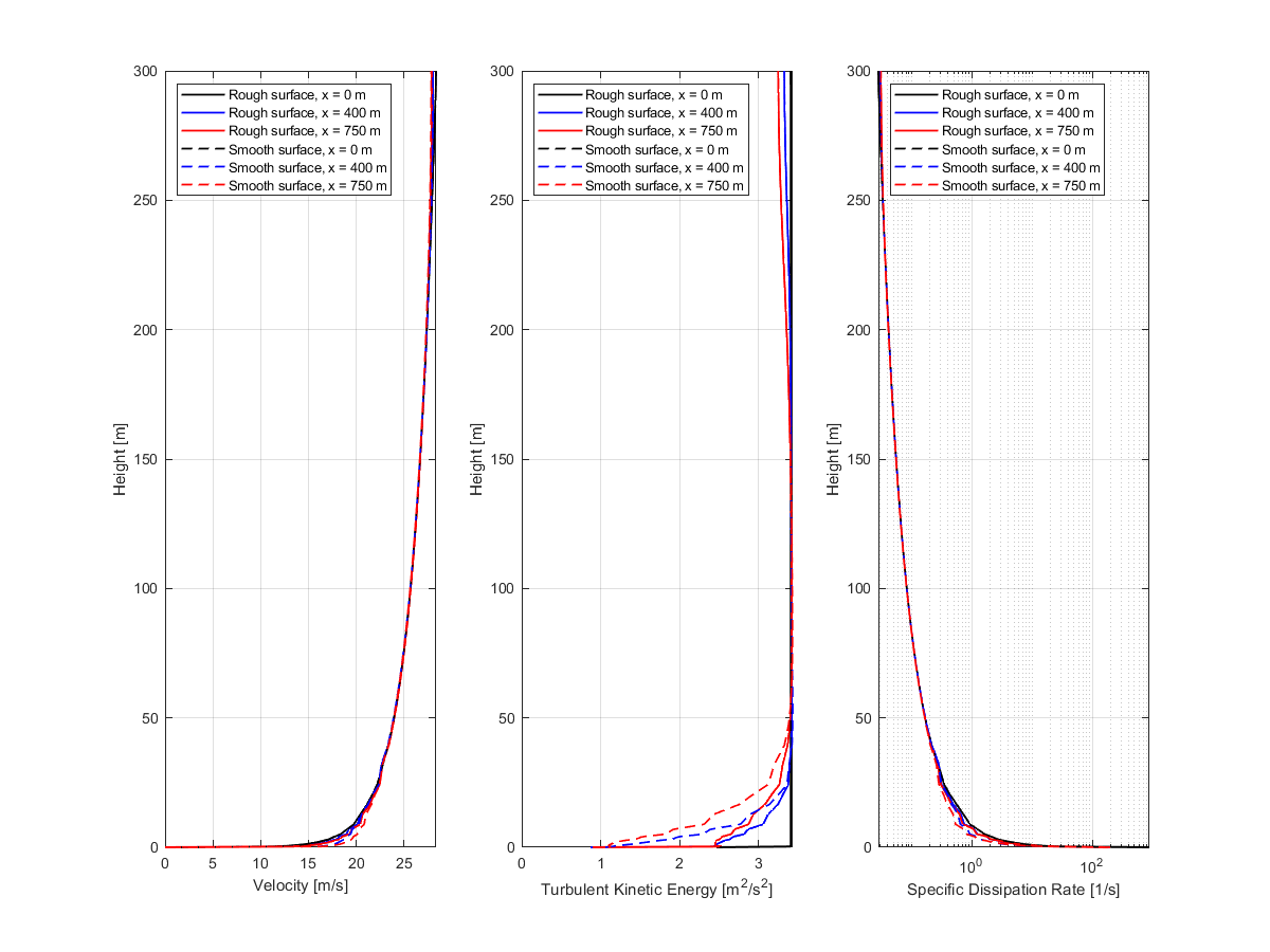
Analyse des flux de terrain – Comparaison des souffleries pour surface inférieure rugueuse et lisse

Analyse comparant le flux de vent sur une surface inférieure rugueuse et lisse à l'aide de techniques de flux de terrain dans une soufflerie.

L’image représente une analyse comparative entre des surfaces inférieures rugueuses et lisses dans une soufflerie, en se concentrant sur les caractéristiques des flux du terrain. L’étude vise à comprendre comment les conditions de surface affectent la dynamique des flux de vent. La texture de surface distincte est mise en valeur.
  • Analyse des flux de terrain
  • Étude en soufflerie
  • Comparaison de surface rugueuse
  • Analyse de surface lisse
  • Observation en dynamique des fluides
Partager