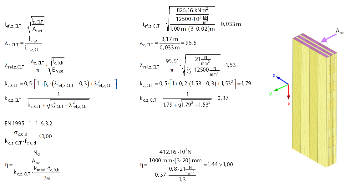
Verifica dell'asta equivalente secondo EN-1995-1-1, capitolo 6.3.2
Verifica dell'asta equivalente secondo EN-1995-1-1, capitolo 6.3.2
2024-05-30
009661
  • RFEM 5
  • RF-TIMBER Pro 5
  • RF-STABILITY 5
    • Strutture di legno
    • Analisi di stabilità
    • Eurocode 5

Verifica dell'asta equivalente secondo EN-1995-1-1, capitolo 6.3.2

Usato in
  • Analisi della stabilità di componenti strutturali piani utilizzando l'esempio di una parete di legno laminato incrociato 2
Condividi