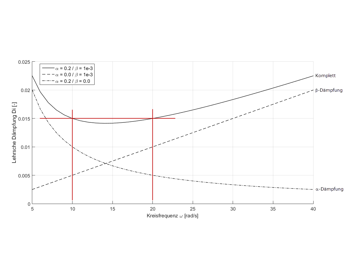
Relazione tra coefficienti di Rayleigh e smorzamento di Lehr
Relazione tra coefficienti di Rayleigh e smorzamento di Lehr
2024-05-30
018202
  • RFEM 5
  • RSTAB 8
  • DYNAM Pro | Time History non lineare 8
    • RF-DYNAM Pro | Forced Vibrations 5
    • RF-DYNAM Pro (versione inglese) | Time history non lineare 5
    • Analisi dinamica e sismica
    • Dinamica non lineare

Relazione tra coefficienti di Rayleigh e smorzamento di Lehr

Usato in
  • Smorzamento di Rayleigh
Condividi