Derivazione della 1a larghezza del nucleo con eccentricità biaxiale
Derivazione della 1a larghezza del nucleo con eccentricità biaxiale
2024-12-03
054348
  • RFEM 6

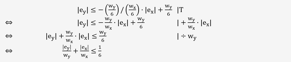
Derivazione della 1° larghezza centrale con eccentricità biaxiale

Derivazione della 1a larghezza del nucleo con eccentricità biaxiale

Questa figura illustra la derivazione della prima larghezza del nucleo tenendo conto di un'eccentricità biaxiale, fondamentale per il rispetto delle eccentricità ammissibili nelle verifiche geotecniche. Attraverso software statico, viene supportata la progettazione strutturale, integrando in particolare i componenti aggiuntivi di Dlubal, per aiutare gli ingegneri nel calcolo preciso e nell'ottimizzazione della stabilità strutturale. I metodi presentati migliorano la comprensione della massimizzazione della capacità strutturale e della prevenzione di errori di costruzione che potrebbero essere causati da eccentricità non ammissibili.
  • Diametro centrale
  • Ingegneria civile
  • Eccentricità
  • Progettazione strutturale
  • Software di statica
Condividi