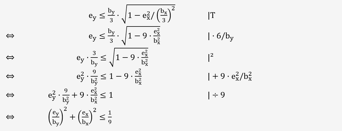
Derivazione della seconda lunghezza centrale con eccentricità biaxiale
Derivazione della seconda lunghezza centrale con eccentricità biaxiale
2024-12-03
054350
  • RFEM 6

Derivazione della 2. larghezza core con eccentricità biaxiale

Derivazione della seconda lunghezza centrale con eccentricità biaxiale

  • Nucleo
  • Ingegneria civile
  • Eccentricità
  • Progettazione strutturale
  • Software di statica
Condividi