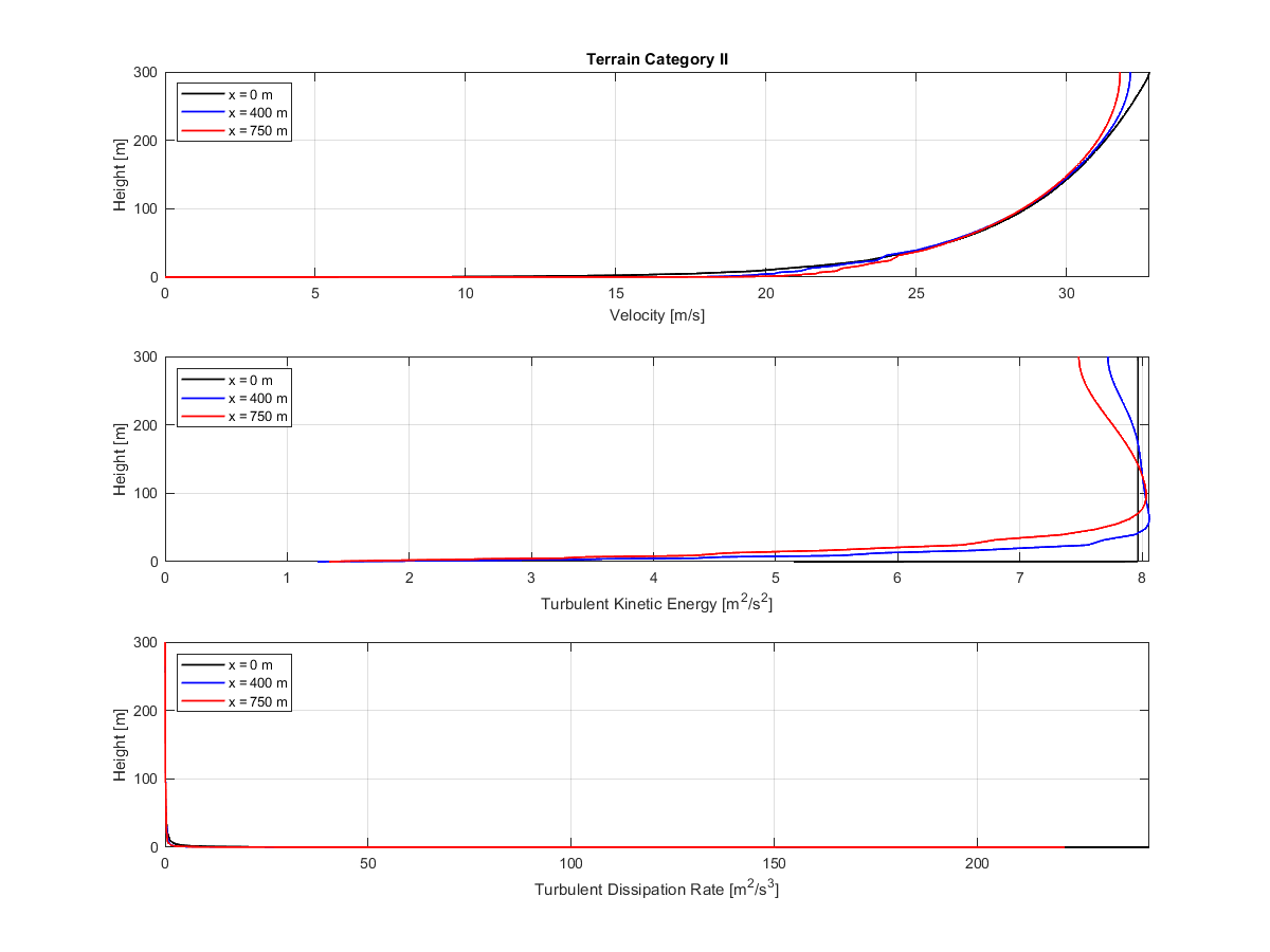
Categoria di terreno II | Diagramma comparativo della velocità, dell'energia cinetica di turbolenza e della velocità di dissipazione in una galleria del vento in tre posizioni x.
Categoria di terreno II | Diagramma comparativo della velocità, dell'energia cinetica di turbolenza e della velocità di dissipazione in una galleria del vento in tre posizioni x.
2025-02-14
055423
  • RFEM 6

Confronto dei parametri del flusso nella galleria del vento

Categoria di terreno II | Diagramma comparativo della velocità, dell'energia cinetica di turbolenza e della velocità di dissipazione in una galleria del vento in tre posizioni x.

Questo diagramma presenta un'analisi comparativa dei parametri di flusso nel piano centrale della galleria del vento. Illustra velocità, energia cinetica turbolenta e tasso di dissipazione turbolenta a x=0 m, x=400 m e x=750 m. Elementi grafici distintivi differenziano ciascun parametro nelle sezioni. Il layout enfatizza la variazione spaziale delle proprietà aerodinamiche in condizioni di terreno di Categoria II.
  • Galleria del vento
  • Velocità
  • Turbolenza
  • Energia cinetica
  • Tasso di dissipazione
  • Piano centrale
  • Diagramma
  • Categoria di terreno II
Condividi