Categoria di terreno III | Confronto di velocità, energia cinetica di turbolenza e tasso di dissipazione in tre sezioni della galleria del vento
Categoria di terreno III | Confronto di velocità, energia cinetica di turbolenza e tasso di dissipazione in tre sezioni della galleria del vento
2025-02-14
055424
  • RFEM 6

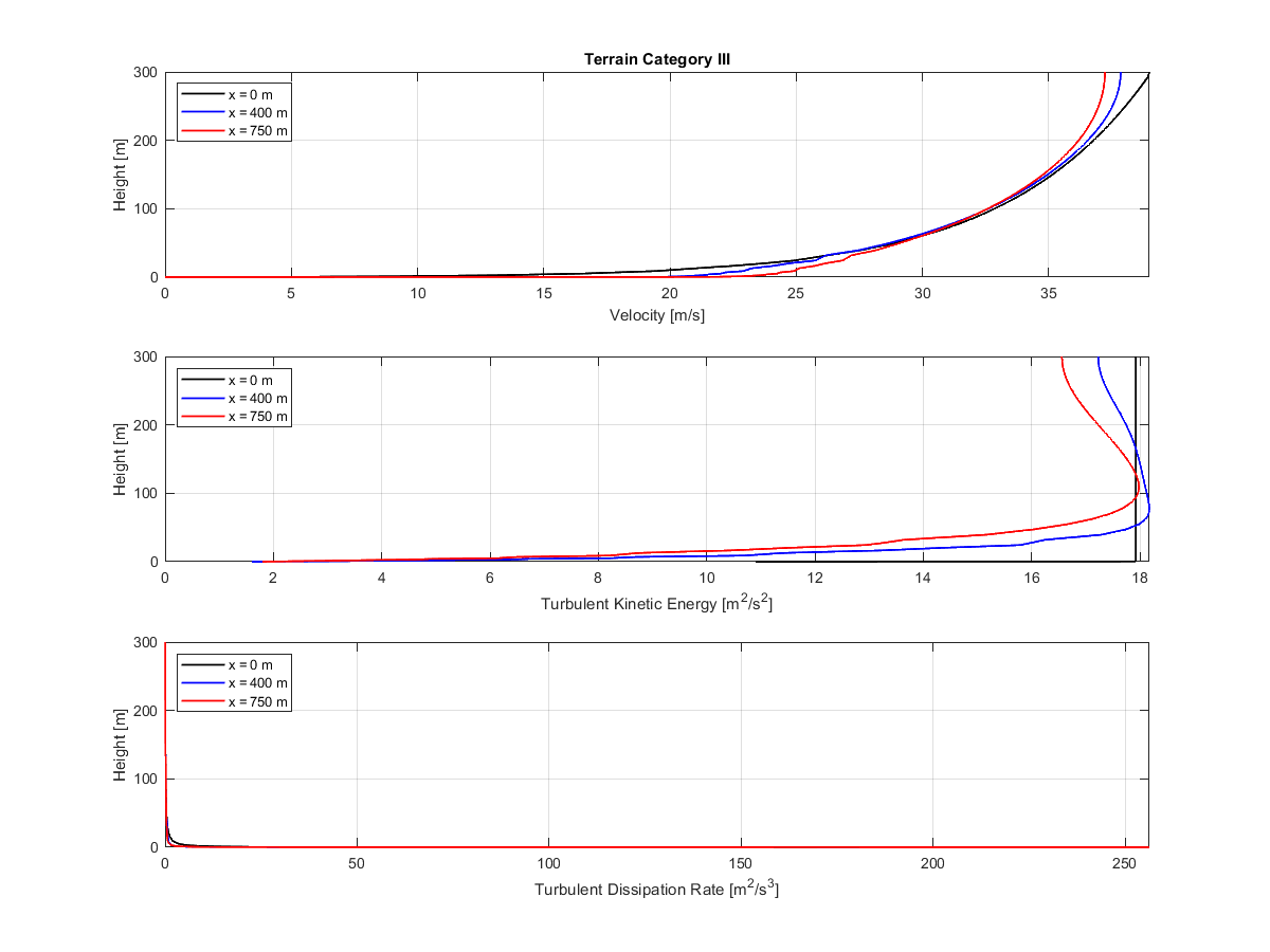
Diagramma di confronto del flusso nella galleria del vento

Categoria di terreno III | Confronto di velocità, energia cinetica di turbolenza e tasso di dissipazione in tre sezioni della galleria del vento

Il diagramma mostra tre grafici della sezione del flusso d'aria misurati in una galleria del vento per x=0 m, x=400 m e x=750 m lungo il piano centrale. Confronta la velocità, l'energia cinetica turbolenta e il tasso di dissipazione turbolenta nelle condizioni della categoria di terreno III. Ogni grafico presenta chiari tracciati di linea che delineano le variazioni dei parametri aerodinamici. La rappresentazione facilita una valutazione dettagliata della dinamica del flusso d'aria attraverso le diverse sezioni.
  • Vento
  • Galleria
  • Flusso
  • Confronto
  • Velocità
  • Energia cinetica turbolenta
  • Tasso di dissipazione turbolenta
  • Categoria di terreno III
  • Piano centrale
Condividi