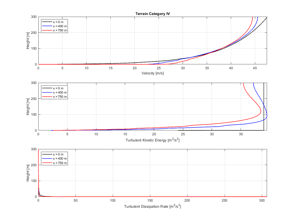
Categoria del terreno IV | Diagramma che mostra velocità, energia cinetica turbolenta e dissipazione a x=0, 400 e 750 m
Categoria del terreno IV | Diagramma che mostra velocità, energia cinetica turbolenta e dissipazione a x=0, 400 e 750 m
2025-02-14
055425
  • RFEM 6

Analisi della portata galleria del vento

Categoria del terreno IV | Diagramma che mostra velocità, energia cinetica turbolenta e dissipazione a x=0, 400 e 750 m

Il diagramma confronta la velocità del flusso, l’energia cinetica turbolenta e il tasso di dissipazione turbolenta nel piano medio di una galleria del vento a x=0 m, 400 m e 750 m. Presenta curve nette per ciascun parametro, evidenziando le differenze spaziali attraverso la sezione di prova. Gli assi etichettati forniscono scale di misura precise e unità per una chiara differenziazione dei valori tracciati. Il layout illustra efficacemente le variazioni nel comportamento dinamico in condizioni di Terreno categoria IV.
  • Vento
  • Galleria
  • Velocità
  • Turbolenza
  • Energia
  • Dissipazione
  • Diagramma
  • Terreno
Condividi