Analisi che confronta il flusso del vento su una superficie inferiore ruvida e liscia utilizzando tecniche di flusso del terreno in una galleria del vento.
Analisi che confronta il flusso del vento su una superficie inferiore ruvida e liscia utilizzando tecniche di flusso del terreno in una galleria del vento.
2025-03-28
056031
  • RFEM 6

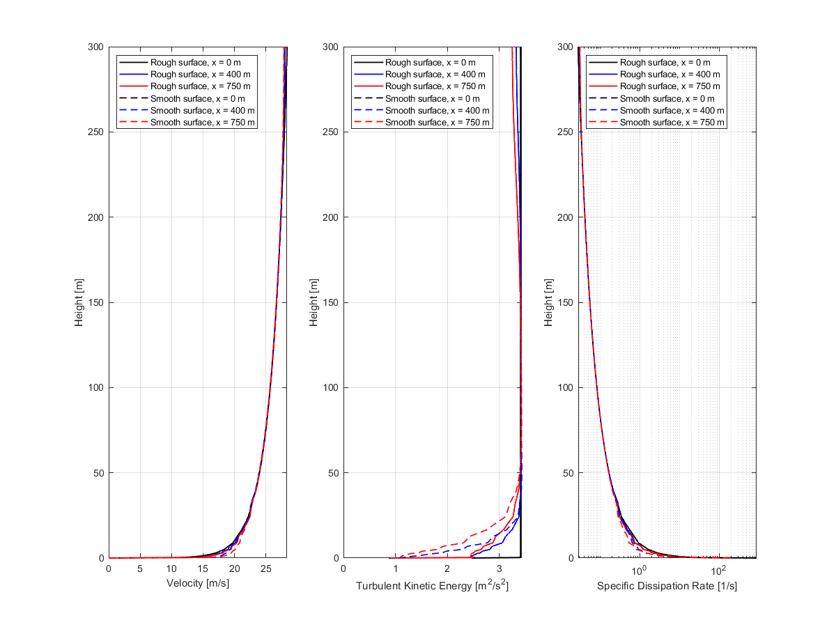
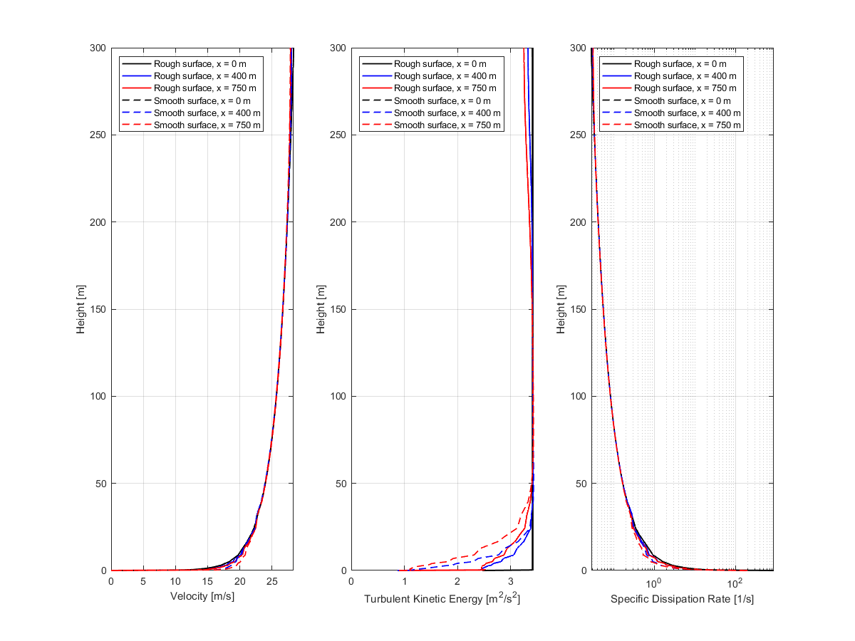
Analisi del flusso del terreno – Confronto nella galleria del vento per superfici inferiori Aggiustare e lisce

Analisi che confronta il flusso del vento su una superficie inferiore ruvida e liscia utilizzando tecniche di flusso del terreno in una galleria del vento.

L'immagine rappresenta un'analisi comparativa tra superfici inferiori ruvide e lisce in una galleria del vento, con un focus sulle caratteristiche del flusso del terreno. Lo studio mira a comprendere come le condizioni della superficie influiscano sulla dinamica del flusso del vento. Le trame distinte della superficie sono evidenziate visivamente.
  • Analisi del flusso del terreno
  • studio in galleria del vento
  • confronto tra superfici ruvide
  • analisi della superficie liscia
  • Osservazione della fluidodinamica
Condividi