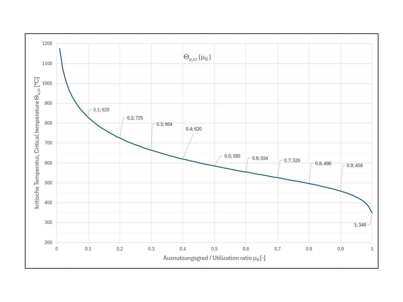
Il grafico della funzione della temperatura critica del componente si presenta come segue:
Il grafico della funzione della temperatura critica del componente si presenta come segue:
2025-09-22
059090
  • RFEM 6
  • RSTAB 9
  • Strutture in acciaio
    • Analisi e progettazione strutturale
    • Eurocode 3

KB 1988 | Grafico della temperatura critica del componente Θa,cr

Il grafico della funzione della temperatura critica del componente si presenta come segue:

Grafico della temperatura critica del componente
  • Temperature critica del componente
  • Progettazione antincendio
  • Grafico delle funzioni
Usato in
  • Verifica della resistenza al fuoco di strutture in acciaio: temperatura critica dei componenti
Condividi