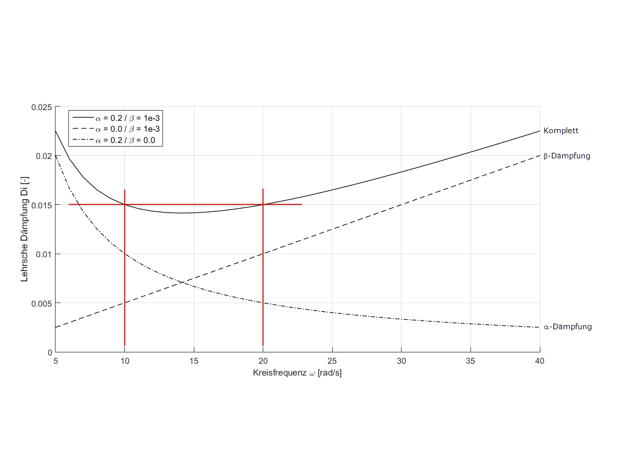
Zależność między współczynnikami Rayleigha a tłumieniem Lehra
Zależność między współczynnikami Rayleigha a tłumieniem Lehra
2024-05-30
018202
  • RFEM 5
  • RSTAB 8
  • DYNAM Pro | Nieliniowa analiza czasowa 8
    • RF-DYNAM Pro | Forced Vibrations 5
    • RF-Dynam Pro (en) | Nieliniowa historia czasowa 5
    • Analiza dynamiczna i sejsmiczna
    • Dynamika nieliniowa

Zależność między współczynnikami Rayleigha a tłumieniem Lehra

Wykorzystano w
  • tÅ‚umienie Rayleigh'a
Udostępnij