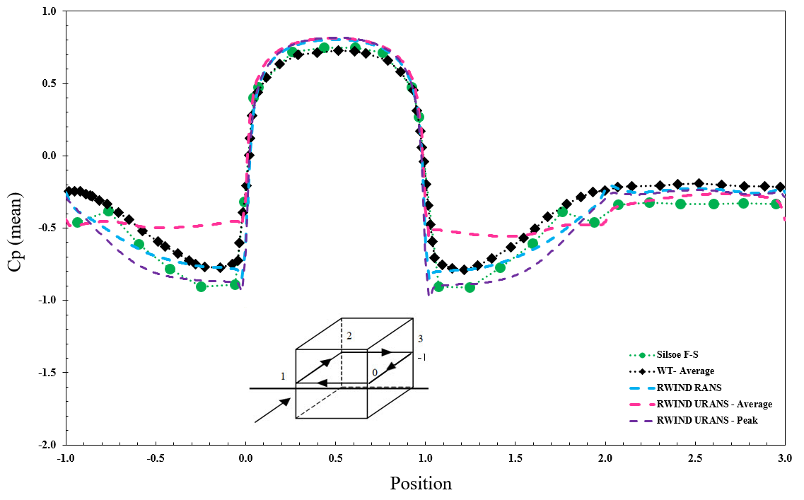
Średnia i maksymalna wartość Cp dla modelu turbulencji RANS i URANS
Średnia i maksymalna wartość Cp dla modelu turbulencji RANS i URANS
2024-11-21
054056
  • RFEM 6

Średnia i maksymalna wartość Cp dla modelu turbulencji RANS i URANS

Udostępnij