Prowadzenie do 1. rdzenia z dwuosiową ekscentrycznością
Prowadzenie do 1. rdzenia z dwuosiową ekscentrycznością
2024-12-03
054348
  • RFEM 6

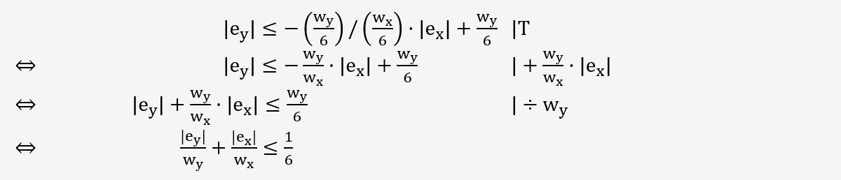
Wyprowadzenie do 1. szerokości rdzenia z dwuosiową ekscentrycznością

Prowadzenie do 1. rdzenia z dwuosiową ekscentrycznością

Ta ilustracja ilustruje wyprowadzenie pierwszej szerokości rdzenia z uwzględnieniem ekscentryczności dwuosiowej, co jest kluczowe dla przestrzegania dopuszczalnych ekscentryczności w dowodach geotechnicznych. Dzięki oprogramowaniu statycznemu wspierane jest planowanie konstrukcji, przy czym szczególnie integrowane są dodatki firmy Dlubal, aby pomóc inżynierom w precyzyjnym obliczaniu i optymalizacji stabilności konstrukcji. Prezentowane metody poprawiają zrozumienie maksymalizacji zdolności strukturalnej oraz unikania błędów konstrukcyjnych, które mogą być spowodowane niedopuszczalnymi ekscentrycznościami.
  • Kernweite
  • Inżynieria budowlana
  • Excentryczność
  • Projektowanie konstrukcji
  • Oprogramowanie statyczne
Udostępnij