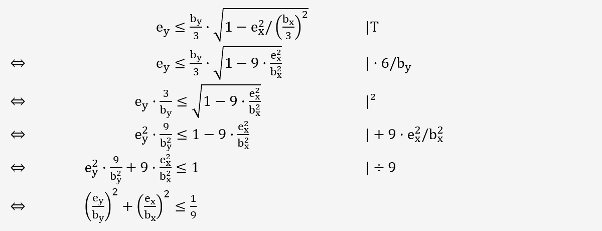
Derivation for 2nd core width with biaxial eccentricity
Derivation for 2nd core width with biaxial eccentricity
2024-12-03
054350
  • RFEM 6

Wyprowadzenie do 2. szerokości rdzenia z dwuosiową ekscentrycznością

Derivation for 2nd core width with biaxial eccentricity

  • Kernweite
  • Inżynieria budowlana
  • Eccentryczność
  • Planowanie konstrukcji
  • Oprogramowanie statyczne
Udostępnij