Kategoria terenu II | Wykres porównawczy prędkości, energii kinetycznej turbulencji i współczynnika strat w tunelu aerodynamicznym na trzech pozycjach x
Kategoria terenu II | Wykres porównawczy prędkości, energii kinetycznej turbulencji i współczynnika strat w tunelu aerodynamicznym na trzech pozycjach x
2025-02-14
055423
  • RFEM 6

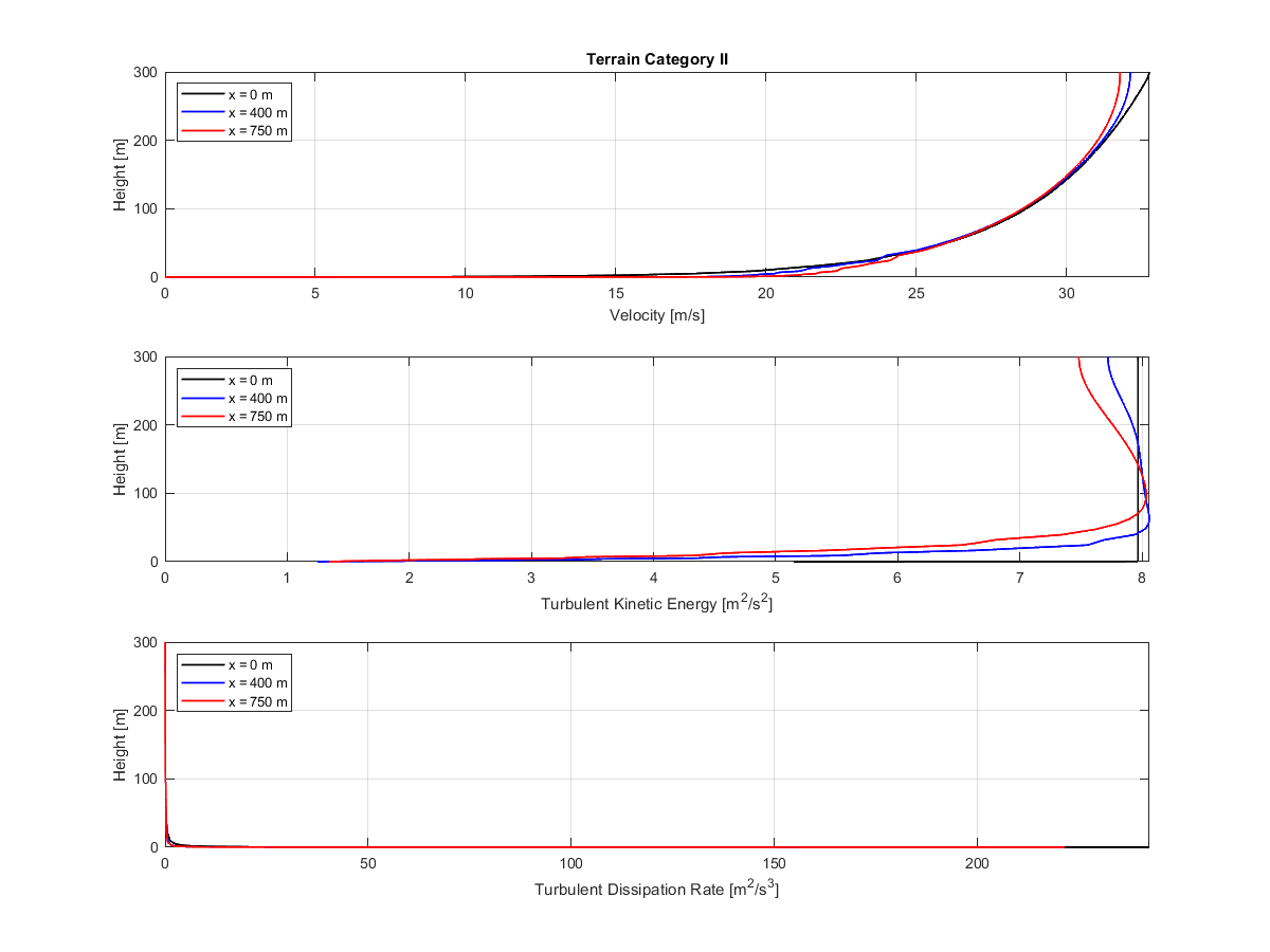
Porównanie parametrów płynięcia w tunelu aerodynamicznym

Kategoria terenu II | Wykres porównawczy prędkości, energii kinetycznej turbulencji i współczynnika strat w tunelu aerodynamicznym na trzech pozycjach x

Diagram przedstawia analizę porównawczą parametrów przepływu w płaszczyźnie środkowej tunelu aerodynamicznego. Ilustruje prędkość, energię kinetyczną turbulencji i szybkość dyssypacji turbulencji na x=0 m, x=400 m i x=750 m. Różne elementy graficzne odróżniają każdy parametr dla poszczególnych sekcji. Układ podkreśla przestrzenną zmienność właściwości aerodynamicznych w warunkach terenu kategorii II.
  • Tunel aerodynamiczny
  • Prędkość
  • Turbulencja
  • Energia kinetyczna
  • Szybkość dyssypacji
  • Płaszczyzna środkowa
  • Wykres
  • Kategoria terenu II
Udostępnij