Analiza porównawcza przepływu wiatru nad chropowatą i gładką powierzchnią dolną z zastosowaniem technik przepływu terenu w tunelu aerodynamicznym.
Analiza porównawcza przepływu wiatru nad chropowatą i gładką powierzchnią dolną z zastosowaniem technik przepływu terenu w tunelu aerodynamicznym.
2025-03-28
056031
  • RFEM 6

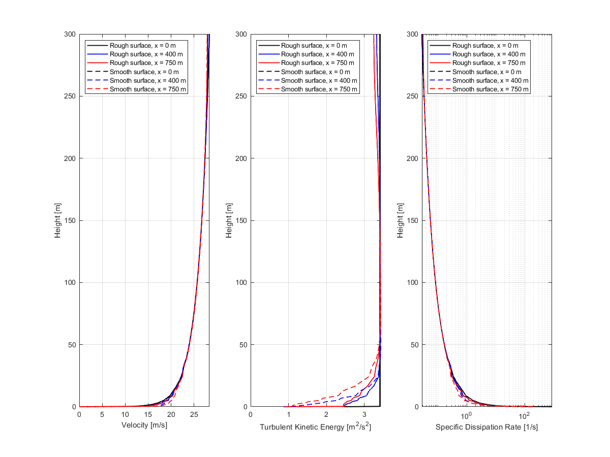
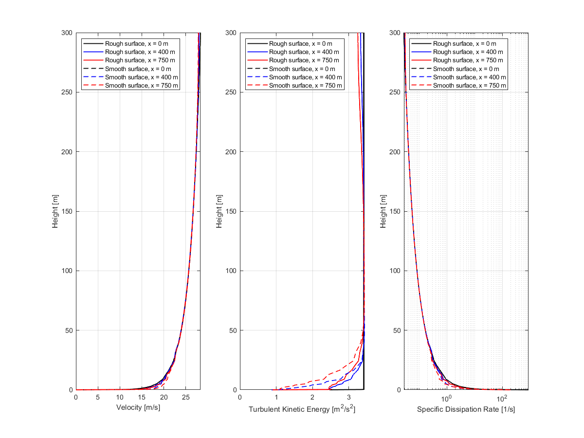
Analiza przepływu terenu – porównanie tunelu aerodynamicznego dla szorstkiej i gładkiej powierzchni dna

Analiza porównawcza przepływu wiatru nad chropowatą i gładką powierzchnią dolną z zastosowaniem technik przepływu terenu w tunelu aerodynamicznym.

Ilustracja przedstawia analizę porównawczą między chropowatymi a gładkimi dolnymi powierzchniami w tunelu aerodynamicznym, koncentrującą się na charakterystyce przepływu terenu. Celem badania jest zrozumienie, jak warunki powierzchni wpływają na dynamikę przepływu wiatru. Różne tekstury powierzchni są wyraźnie podkreślone wizualnie.
  • Analiza przepływu terenu
  • Badanie w tunelu aerodynamicznym
  • Porównanie szorstkich powierzchni
  • Analiza gładkiej powierzchni
  • Obserwacja dynamiki płynów
Udostępnij