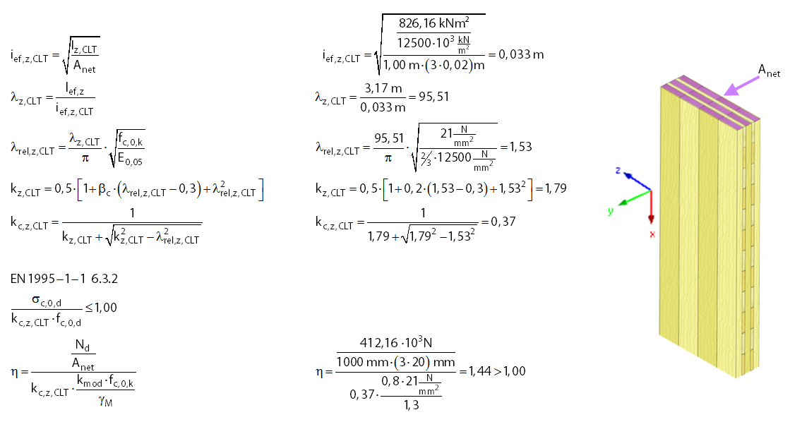
Dimensionamento de barra equivalente de acordo com EN-1995-1-1, Capítulo 6.3.2
Dimensionamento de barra equivalente de acordo com EN-1995-1-1, Capítulo 6.3.2
2024-05-30
009661
  • RFEM 5
  • RF-TIMBER Pro 5
  • RF-STABILITY 5
    • Estruturas de madeira
    • Análise de estabilidade
    • Eurocode 5

Dimensionamento de barra equivalente de acordo com EN-1995-1-1, Capítulo 6.3.2

Utilizado em
  • Análise de estabilidade de elementos de superfície exemplificado numa parede de madeira laminada cruzada - 2ª parte
Partilhar