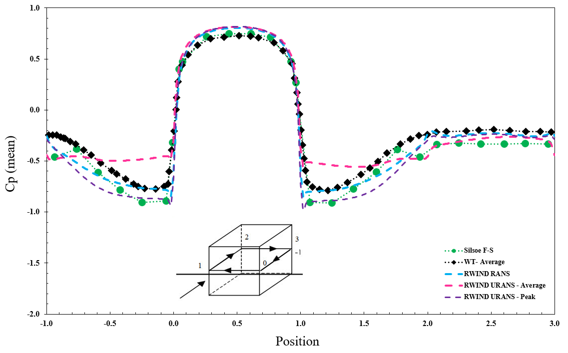
Valor Cp médio e de pico para modelos de turbulência RANS e URANS
Valor Cp médio e de pico para modelos de turbulência RANS e URANS
2024-11-21
054056
  • RFEM 6

Valor Cp médio e de pico para modelos de turbulência RANS e URANS

Partilhar