Derivação da primeira largura do núcleo com excentricidade biaxial
Derivação da primeira largura do núcleo com excentricidade biaxial
2024-12-03
054348
  • RFEM 6

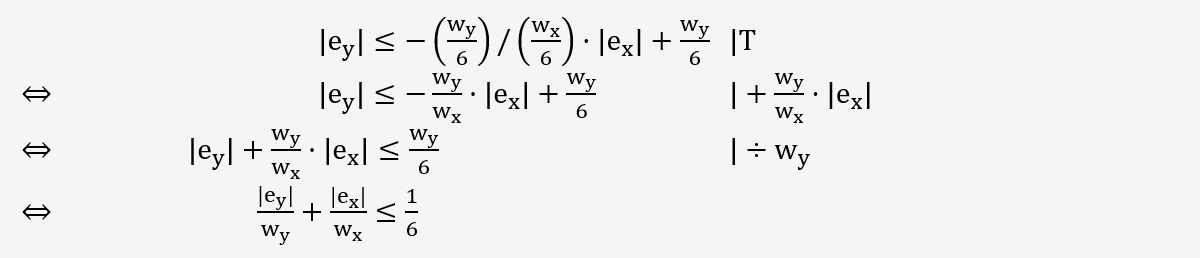
Derivação da primeira largura do núcleo com excentricidade biaxial

Esta figura ilustra a derivação da primeira largura do núcleo, levando em consideração uma excentricidade biaxial, essencial para a conformidade com as excentricidades permitidas em dimensionamentos geotécnicos. Com o auxílio de software estático, o planeamento estrutural é suportado, sendo que, em particular, são integrados módulos da Dlubal para ajudar os engenheiros na precisão do cálculo e otimização da estabilidade estrutural. Os métodos apresentados melhoram a compreensão da maximização da capacidade estrutural e na prevenção de erros de construção que poderiam ser causados por excentricidades não permitidas.
  • Largura do núcleo
  • Engenharia civil
  • Excentricidade
  • Planeamento estrutural
  • Software de estática
Partilhar