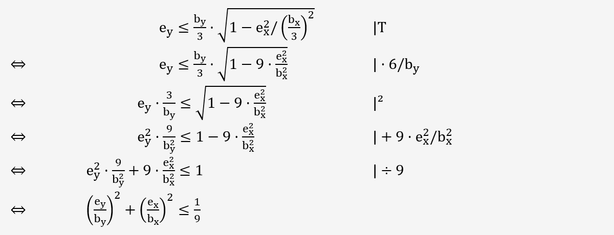
Derivação da 2ª largura do núcleo com excentricidade biaxial
Derivação da 2ª largura do núcleo com excentricidade biaxial
2024-12-03
054350
  • RFEM 6

Derivação para a 2ª largura central com excentricidade biaxial

Derivação da 2ª largura do núcleo com excentricidade biaxial

  • Kernweite
  • Engenharia estrutural
  • Excentricidade
  • Planejamento estrutural
  • Software de estática
Partilhar