Categoria de terreno II | Diagrama comparando velocidade, energia cinética turbulenta e taxa de dissipação num túnel de vento em três posições x.
Categoria de terreno II | Diagrama comparando velocidade, energia cinética turbulenta e taxa de dissipação num túnel de vento em três posições x.
2025-02-14
055423
  • RFEM 6

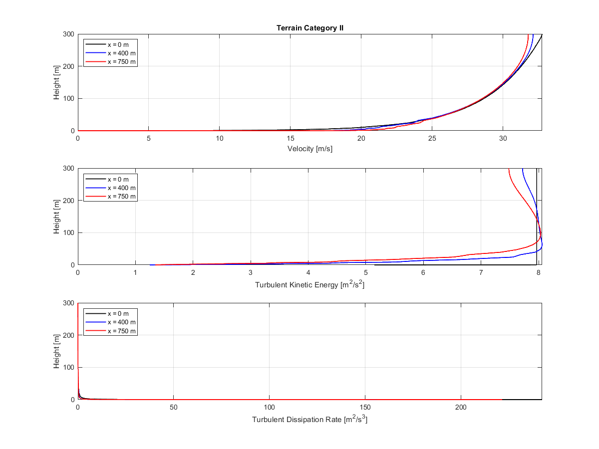
Comparação de parâmetros de fluxo de túnel de vento

Categoria de terreno II | Diagrama comparando velocidade, energia cinética turbulenta e taxa de dissipação num túnel de vento em três posições x.

Este diagrama apresenta uma análise comparativa dos parâmetros de fluxo no plano médio do túnel de vento. Ilustra a velocidade, a energia cinética de turbulência e a taxa de dissipação de turbulência em x=0 m, x=400 m e x=750 m. Elementos gráficos distintos diferenciam cada parâmetro em todas as secções. A disposição realça a variação espacial das propriedades aerodinâmicas em condições de terreno de categoria II.
  • Túnel de vento
  • Velocidade
  • Turbulência
  • Energia cinética
  • Taxa de dissipação
  • Plano médio
  • Diagrama
  • Categoria de terreno II
Partilhar