Categoria de terreno III | Comparação de velocidade, energia cinética turbulenta e taxa de dissipação em três secções do túnel de vento
Categoria de terreno III | Comparação de velocidade, energia cinética turbulenta e taxa de dissipação em três secções do túnel de vento
2025-02-14
055424
  • RFEM 6

Diagrama de comparação de fluxos no túnel de vento

Categoria de terreno III | Comparação de velocidade, energia cinética turbulenta e taxa de dissipação em três secções do túnel de vento

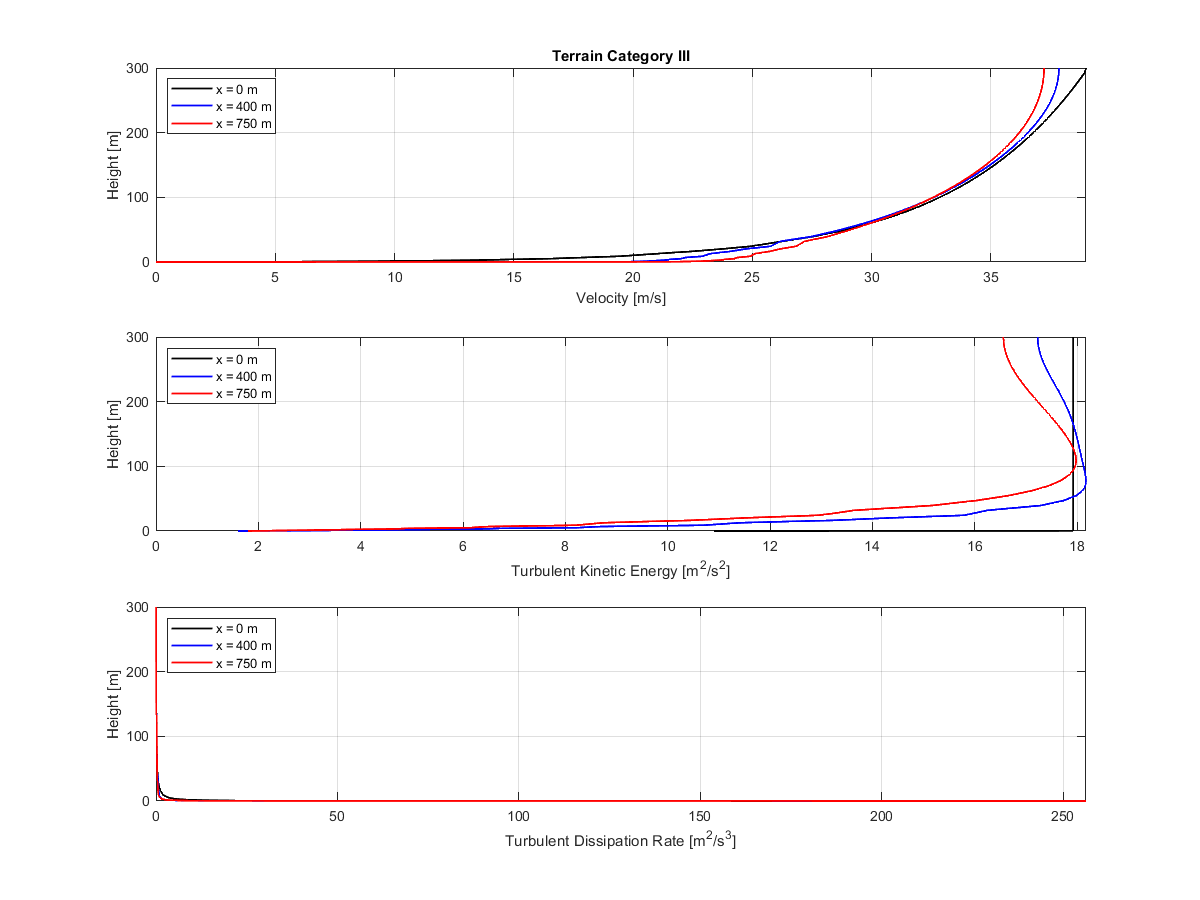
O diagrama apresenta três gráficos de dados de fluxo de ar medidos num túnel de vento para x=0 m, x=400 m e x=750 m ao longo do plano médio. Compara a velocidade, energia cinética turbulenta e taxa de dissipação turbulenta sob condições de terreno da categoria III. Cada gráfico possui representações claras que delineiam as variações nos parâmetros aerodinâmicos. A representação facilita uma avaliação detalhada da dinâmica do fluxo de ar nas diferentes secções.
  • Vento
  • Túnel
  • Fluxo
  • Comparação
  • Velocidade
  • Energia cinética de turbulência
  • Taxa de dissipação de turbulência
  • Categoria de terreno III
  • Plano médio
Partilhar